
本号拟对SEMA规范(Code of Practice for the Design of Adjustable Pallet Racking)做一些简单的介绍,不定期推出系列文章简述货架结构设计内容,以飨读者。本篇为第三篇。
3.1 总则
总的来说,货架结构设计就是通过计算或测试保证承载力极限状态与正常使用极限状态都满足下式:

其中,
γf为相应荷载分项系数
γm为材料强度系数
F为荷载效应计算值
Rk为相应极限状态抗力特征值。
左侧即为我们常说的荷载组合,该规范中没有清楚写明需要考虑的具体荷载组合,需要参考BS 5950:Part1,然后采用本规范的荷载分项系数。
3.2 荷载
3.2.1 恒载(永久作用)
恒载包括货架本身的重量,以及货架支承的固定设备的重量,比如喷淋、电气、供暖、通风、空调等设备。设计所需恒载的数据应以实际为准。
当结构总自重小于其所承受的总竖向荷载的5%时,结构自重可以忽略。按笔者经验,此条在实际中会发生。
3.2.2 托盘货载
指托盘及其上货物荷载,也称存储单元荷载。与建筑结构中的风、雪、楼板活荷载相比,托盘货载的统计不确定性远小于其他几种荷载。因此,托盘货载的分项系数大小介于恒载分项系数与活载分项系数之间。
客户、终端用户或者作为二者咨询方的单位,应负责指定存储货物的最大重量与尺寸,以及关于托盘在货架上如何分布等特殊需求。在结构整体分析时,设计者可以假定整个货架每跨每层的货载都是均匀分布的,除非设计者与客户以书面形式就其他分布方式达成一致。
3.2.3 活荷载(可变作用)
活荷载指因货架使用而产生的额外荷载。与货架连接的设备上的活荷载,也应在设计中确定并考虑。
3.2.4 偶然竖向荷载
在一个存储单元正上方的货架构件,应能承受一个至少5kN的向上的偶然作用力。一般而言,这个力应该作用于一根横梁的一端,由安全插销抵抗,确保梁端连接件不从立柱孔中脱出。
3.3 缺陷
规范考虑了四种缺陷引起的作用,即框架缺陷、支撑体系缺陷、构件缺陷与加载缺陷。
3.3.1 框架缺陷
框架的缺陷考虑了安装后的货架体系不是完全竖直的实际情况。框架缺陷应在结构整体分析中予以考虑,分析得到的力与弯矩应用于构件的设计。整体分析模型中,可以使货架模型具有一个初始侧移缺陷,亦可由一组等效水平力代替。

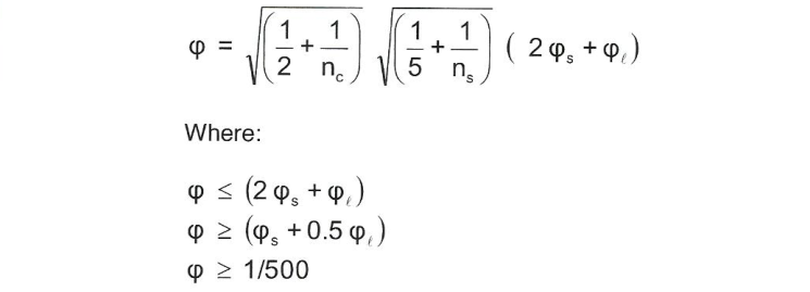
(1)侧移缺陷
侧移缺陷φ由下式确定:

其中,
nc为立柱数量(沿巷道方向)或相连的立柱组数量(垂直于巷道方向)
ns为横梁层数
φs为最大指定垂直度偏差(即顶部最大偏移距离除以对应高度)
φl为梁柱节点的初始松动,需要根据本规范的测试方法确定(仅无支撑框架需考虑,对支撑框架,φl=0)
以上初始侧移缺陷在结构设计中需要沿所有水平方向考虑,但是每个方向只需单独考虑不与其他方向叠加。
从上式可以看出,φs对侧移缺陷的贡献很大,它代表着实际货架安装的垂直度标准,由于φs是设计者人为指定,因此货架安装后的垂直度是否达到指定标准,影响着货架是否到达设计安全标准。
(2)等效水平力
相对于建立倾斜的模型,比较方便的是使用等效水平力代替初始侧移缺陷。等效水平力应施加在货架的每一层,与每层承受的竖向荷载成比例。
3.3.2 支撑体系缺陷
包含支撑体系的结构应在分析中考虑相应缺陷的影响,分析得到的力与弯矩应用于构件的设计。支撑体系缺陷有以下两种情况。
(1)沿巷道方向的垂直支撑体系初始整体侧移缺陷
如下图所示,此缺陷应根据3.3.1节的方法确定,此时nc为一排相连货架的跨数。

(2)垂直于巷道方向的横斜撑体系初始整体侧移缺陷
垂直于巷道方向,立柱组通过巷道顶拉杆、立柱组连杆或中间层楼板相连,初始侧移缺陷应根据3.3.2.1节的方法确定,此时nc为相连的立柱组数目,(1/5+1/ns)项值取1。
规范还规定了支撑体系应能抵抗的最小水平剪力Fq,为所支撑框架最大轴力的2%。对于沿巷道方向的垂直支撑体系,除了支撑跨的2%,Fq还应附加被支撑跨的1%,累计不超过7%。如果支撑体系提供N个平面的框架侧向稳定性,那么该水平剪力还要乘以N(比如单深货架背靠背垂直支撑N=4,双深货架背靠背垂直支撑N=8。同时,规范规定了设置水平支撑将所有平面的水平力传递至中间垂直支撑的重要性,目前市面大部分货架产品不满足此要求)。
笔者认为,支撑系统水平剪力是可以通过整体结构分析计算得到的,而以上规定为本规范考虑的构造措施,以保证支撑系统的安全性。但"累计不超过7%",可以认为,规范暗含的意思为,一跨垂直支撑可以提供支撑效果的跨数为6,即每隔5跨横梁设置一道背拉杆。
3.3.3 构件缺陷
构件缺陷指构件实际加工与名义设计之间的偏差,会影响构件的承载力。构件缺陷通过相应的屈曲公式在构件设计中考虑。
3.3.4 加载缺陷
如果荷载的重心偏离货架重心,那么会导致一组横梁承受不均等的荷载,见下图。

如果荷载偏心引起的最大应力、变形的偏差小于12%,那么加载缺陷的影响可以忽略。如果设计与操作允许系统性的偏心,那么在整体分析中应考虑其影响。
稳图提供自动化立体仓库高层货架、库架一体货架以及各种平库货架(包括且不限于横梁式、穿梭车式、悬臂式、后推式、重力式、阁楼式与钢平台等)的结构设计、施工质量检测与使用维护检测等一系列专业技术必威betway西汉姆联官网。期待与您交流。
本站的原创文章,请转载时务必注明出处:稳图WESAFE,不尊重原创的行为我们将追究责任。

